Hallo zusammen,
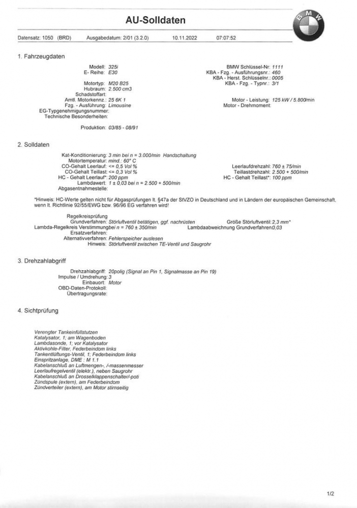
ich war heute in der Werkstatt, in der ich seit Jahren die AU machen lasse. Habe immer AU bekommen und mich nicht weiter darum gekümmert, wie und was die Werkstatt gemacht hat. Heute sagt mir der Werkstattbesitzer, dass die Geräte zum Messen der Abgaswerte mit einem TÜV-Server verbunden sind und neben Maximalwerten für CO und Lambda bei einem bestimmten Drehzahlbereich neuerdings (seit diesem Jahr) auch Minimumwerte definiert wurden, die erreicht werden müssen. Kann mir jemand sagen, in welchen Bandbreiten sich Drehzahl, CO und Lambda bei einem 325iC (g-Kat), 170 PS, BJ 1987 befinden müssen? Ich meine, er hätte etwas von CO zwischen 0,3 und 0,5 erwähnt, bin mir aber nicht sicher. In welchen Intervallen müssen sich die anderen Werte befinden?
Hat jemand zudem einen Tipp für einen kulanten AU-Prüfer mit "kreativen" Lösungen im Raum Mannheim / Rhein-Neckar (Die Zeit drängt leider etwas)? Dann schreibt mir gerne eine Nachricht.
Nebenbemerkung: ich würde gerne auf Belehrungen bzgl. des letzten Satzes verzichten, auch wenn er Interpretationsspielraum lässt - Danke
. Es muss sich ja keiner darauf einlassen.
.... mehr ist nicht vorgeschrieben, egal was der Prüfer für ein neues, tolles Onlinetool hat.
![[image]](images/uploaded/20221110062522636c9952580f6.jpg)
--
![[image]](https://bmw.reddecom.de:5443/forum/e30/reddecom_qr_200.jpg)
Danke sehr...
325iC Diamant
, Samstag, 12.11.2022, 13:04 (vor 1263 Tagen) @ e30ronny
Korrektur bzgl. der Maximal-/Minimalwerte: ich vermute, "Minimumwerte" werden irgendwo in einer zentralen Stelle definiert und sind den Prüfern nicht bekannt, aber unterhalb dieser Werte werden Ermittlungen eingeleitet, weil die AU Bescheinigung dann verdächtig ist.
AU
ChrisAS
, Köln, Donnerstag, 10.11.2022, 10:30 (vor 1265 Tagen) @ 325iC Diamant
Hallo zusammen,
ich war heute in der Werkstatt, in der ich seit Jahren die AU machen lasse. Habe immer AU bekommen und mich nicht weiter darum gekümmert, wie und was die Werkstatt gemacht hat. Heute sagt mir der Werkstattbesitzer, dass die Geräte zum Messen der Abgaswerte mit einem TÜV-Server verbunden sind und neben Maximalwerten für CO und Lambda bei einem bestimmten Drehzahlbereich neuerdings (seit diesem Jahr) auch Minimumwerte definiert wurden, die erreicht werden müssen. Kann mir jemand sagen, in welchen Bandbreiten sich Drehzahl, CO und Lambda bei einem 325iC (g-Kat), 170 PS, BJ 1987 befinden müssen? Ich meine, er hätte etwas von CO zwischen 0,3 und 0,5 erwähnt, bin mir aber nicht sicher. In welchen Intervallen müssen sich die anderen Werte befinden?
Hat jemand zudem einen Tipp für einen kulanten AU-Prüfer mit "kreativen" Lösungen im Raum Mannheim / Rhein-Neckar (Die Zeit drängt leider etwas)? Dann schreibt mir gerne eine Nachricht.
Nebenbemerkung: ich würde gerne auf Belehrungen bzgl. des letzten Satzes verzichten, auch wenn er Interpretationsspielraum lässt - Danke
. Es muss sich ja keiner darauf einlassen.
Hallo,
hast Du berechtigte Sorge, dass er die AU nicht besteht? Wenn der originale Kat nicht defekt ist und die Lambda im richtigen Regelbereich arbeitet wird er das schon schaffen ohne Pfuschen.
Falls die Drehzahl zu niedrig ist im LL, dann Licht/Lüftung/Klima/Heckscheibenheizung/weitere Verbraucher anmachen.
Falls Du ein Euro2 Kit nachgerüstet hast, dann muss er CO von 0,3 statt 0,5 im Leerlauf schaffen. Falls er das nicht schafft, den Kat mal ordentlich warm und frei fahren. Meine M20 liegen da bei Werten zwischen 0,02 und 0,158. Gefühlt eher abhängig von der Außentemperatur als vom Zustand des Autos.
Gruß
Christian
Falls Du ein Euro2 Kit nachgerüstet hast, dann muss er CO von 0,3 statt 0,5 im Leerlauf schaffen. Falls er das nicht schafft, den Kat mal ordentlich warm und frei fahren. Meine M20 liegen da bei Werten zwischen 0,02 und 0,158. Gefühlt eher abhängig von der Außentemperatur als vom Zustand des Autos.
Gruß
Christian
Wollt gerade meinen, wenn der M20 die AU nicht schafft muß aber arg was faul sein.
Auch das mit dem OnlineTool ist beim E30 Quatsch, das geht da auch gar nicht...das ist für OBD2 Fahrzeuge und ich glaube sogar erst kommende Euro-Norm.
Ich mache die AU bei uns mit einem ganz normalen Tester und wenn er die im ersten Anlauf nicht besteht, fahre ich den Kat kurz warm und teste dann nochmal.
Wenn er dann immer noch nicht besteht, dann wird die Ursache beseitigt, was beim E30 nie teuer ist, und gut.
Bis dato habe ich noch jeden Wagen ohne Beschiss durchbekommen.
AU
325iC Diamant
, Donnerstag, 10.11.2022, 22:35 (vor 1265 Tagen) @ esgey
Hallo esgey,
was meinst Du mit "ganz normalen Tester"? Ein Gerät, das keine Daten an irgendeinen Server übermittelt? Hatte es von meinem AU-Prüfer so verstanden, dass dies mittlerweile der Standard sei, aber evtl. ist es auch was Spezifisches für ihn bzw. Prüfer, die im Verdacht stehen, die Werte "herbeizuzaubern", dass die Daten zentral übermittelt werden müssen. Bei meinem 325iC war der CO-Wert deutlich zu hoch, Lambda im grünen Bereich. Was sind da so die potenziellen Ursachen ("beim E30 nie teuer")? Da die Abgase bei meinem schon etwas auffällig riechen, könnte es der Kat sein. Wie kann man das diagnostizieren?
AU
325iC Diamant
, Donnerstag, 10.11.2022, 22:25 (vor 1265 Tagen) @ ChrisAS
Hallo Christian,
der AU Prüfer in der Werkstatt hat es mir so erklärt: nach Eingabe der Fahrzeugdaten in das Messsystem wurde der Maximalwert, aber auch Minimalwert für CO auf dem Bildschirm angezeigt (0,3-0,5). Er sagte, dass die Daten bei jedem Lauf an den TÜV Server übermittelt werden. Er hat einen Testlauf bei mir durchgeführt; CO jenseits von Gut und Böse (weit über 0,5, den Wert konnte ich nicht sehen, nur den roten Balken), Drehzahl und Lambda im grünen Bereich. Auch diese Daten wurden an den Server übermittelt, allerdings hat er mir natürlich keine AU Bescheinigung ausgestellt. Er hat wohl schon Mal eine Strafe im vierstelligen EUR-Bereich zahlen müssen, da er einem Fahrzeug einen CO-Wert von 1,22 bei einem Minimalwert von 1,3 ausgestellt hatte. Daraufhin ermittelte die Staatsanwaltschaft und das betreffende Fahrzeug wurde erneut überprüft; der CO-Wert lag deutlich über dem vorgegebenen Maximalwert. Möglicherweise wurde die Werte mittels eines anderen Fahrzeugs, an dem die Messsonde angebracht wurde, ermittelt. Die Minimalwerte werden wohl definiert, um möglichen Betrug zu identifizieren.
Natürlich ist es erlaubt, dass der CO-Wert beim E30 325i unter 0,3 liegt (es ist ja lediglich ein Maximalwert definiert), aber aufgrund der Datenübermittlung würde nach Aussage des Prüfers dann der TÜV stutzig und würde Ermittlungen anstoßen. Was mich jetzt irritiert: wenn Du von 0,02 und 0,158 schreibst und ich mit den entsprechenden Fahrzeugen zu diesem AU-Prüfer fahre, dann müssten der Logik nach (< 0,3) beim TÜV die Alarmsirenen läuten und die Fahrzeuge würden überprüft. Wenn sie dann diese Werte halten, ist ja alles gut. Aber scheinbar werden Deine / die von Dir geprüften Fahrzeuge nicht jedes Mal nachgeprüft, ob die Werte stimmen?
Kann es sein, dass es speziell für diesen AU-Prüfer wg. des Verdachts auf Betrug eine Maßnahme ist, dass alle seine Daten an den TÜV-Server übermittelt werden und es nicht der Regelfall ist? So wie er es erzählte, klang es so, als wäre das jetzt der Standard. Aber gibt es noch Werkstätten, in denen die AU ohne Übermittlung der Daten an eine zentrale Stelle läuft? Bei esgey´s Beitrag klingt es ja so...
AU
bengel, Freitag, 11.11.2022, 11:46 (vor 1264 Tagen) @ 325iC Diamant
Hallo,
Bei mir hat sich der Küs an einem katlosen M3 an der AU versucht und mich durchfallen lassen.
Stellte sich dann heraus, dass der Prüfer dachte, dass Auto hätte einen Kat. Er dachte, er tut mir einen gefallen, als mit hoher Drehzahl versuchte den Kat zu wärmen. Oh mann ...
Egal, andere Geschichte.
Als ich das Missverständnis aufklärte, musste ich trotzdem eine Nachprüfung machen weil CO zu hoch war.
Ursache war dann der Temperatursensor der DME und daher lief der Motor quasi immer Kaltlauf und damit zu fett. Nach Sensortausch die Au bestanden.
Ansonsten verbessert auch e10 Benzin das Abgasverhalten. Je höher der Alkoholanteil ist, desto weniger CO.
Wenn ich das so lese muss ich mich spontan an den Kopf klatschen...
Internetstörung bedeutet dann automatisch: Liebe Kunden, ihr könnt alle nach Hause fahren, heute nix mehr AU

weitere Erfahrungen?
325iC Diamant
, Freitag, 11.11.2022, 13:02 (vor 1264 Tagen) @ nordschleifentouring
Ich kann nur das wiedergeben, was mir der AU-Prüfer gesagt / gezeigt hat. Und man kann davon ausgehen, dass viele "knifflige" Fälle früher bei ihm AU gemacht haben, er es also nicht nötig haben dürfte, mir irgendeine Geschichte zu erzählen. Aber die Hand dafür ins Feuer legen kann ich natürlich nicht.
Hat denn sonst noch jemand davon gehört, dass bei der AU die Daten an einen Server übermittelt werden und die AU Prüfung plausibilisiert wird?
Nope.
weitere Erfahrungen?
ChrisAS
, Köln, Samstag, 12.11.2022, 08:27 (vor 1263 Tagen) @ 325iC Diamant
bearbeitet von ChrisAS, Samstag, 12.11.2022, 08:38
Ich kann nur das wiedergeben, was mir der AU-Prüfer gesagt / gezeigt hat. Und man kann davon ausgehen, dass viele "knifflige" Fälle früher bei ihm AU gemacht haben, er es also nicht nötig haben dürfte, mir irgendeine Geschichte zu erzählen. Aber die Hand dafür ins Feuer legen kann ich natürlich nicht.
Hat denn sonst noch jemand davon gehört, dass bei der AU die Daten an einen Server übermittelt werden und die AU Prüfung plausibilisiert wird?
Möglicherweise hat er da ein neues Gerät. Bei meinem Prüfer ist es so dass er die "Werte" von dem Bosch AU Tester händisch in seinen HU Bericht schreibt. Da steht dann: UMA: bestanden
Die HU Berichte werden mittlerweile tatsächlich alle an eine zentrale Stelle geschickt (online).
Zu Deinem erhöhten CO-Wert. Fahr den Kat mal richtig warm, schnell Autobahn zB. Ansonsten Temperaturfühler Motronic(das ist der blaue am Thermostatgehäuse? prüfen (läuft er zu fett?) oder auch Falschluft. Im Zweifel LMM mal gegen einen anderen tauschen falls verfügbar.
Gruß Christian
AU
E30_S14_S38, Samstag, 12.11.2022, 19:03 (vor 1263 Tagen) @ 325iC Diamant
Das hat man dann von der schönen, digitalisierten und vernetzten Welt. Danke für deine Alltags Schilderung
