Steuergerät 0 267 200 381 zuordnung
Baur-eta, Samstag, 29.12.2018, 16:14 (vor 2692 Tagen)
Moin!
Habe beim Aufräumen noch ein Steuergerät 0 267 200 381 gefunden über dessen Herkunft ich nichts sagen kann bzw es nicht mehr weiß.
Die E30.de Tabelle
( http://wp1016621.server-he.de/fotost/f01023/f01023.htm?fbclid=IwAR2cEQ4SHI-aLm1OIjWYxjk... )
listet nur 380 und 382.
Kann mir jemand sagen was ich da habe ?
Gruß aus dem Südschwarzwald
Baur-eta
Steuergerät 0 267 200 381 zuordnung
tino335i
, Samstag, 29.12.2018, 16:18 (vor 2692 Tagen) @ Baur-eta
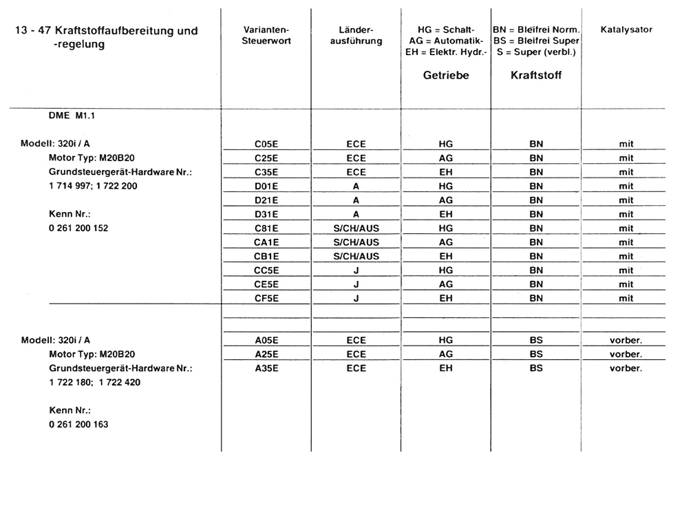
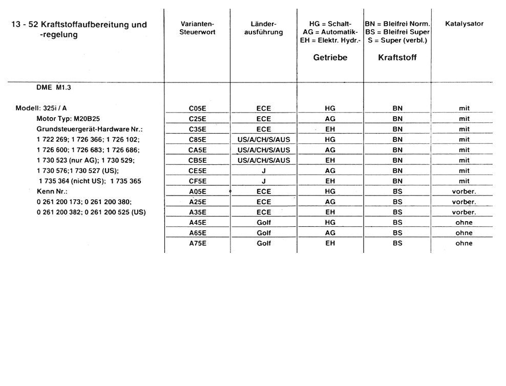
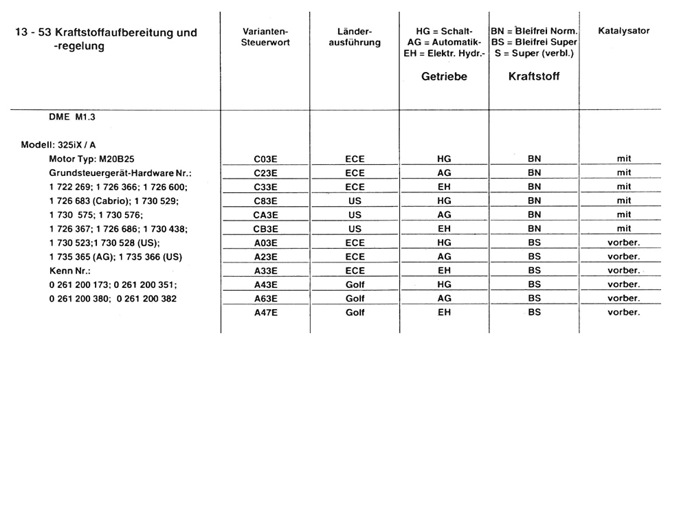
Klebt seitlich noch ne Fahrgestellnummer drauf ? Weiterhin steht auch manchmal die Codierung drauf, C035E oder so ähnlich.
Steuergerät 0 267 200 381 zuordnung
Baur-eta, Samstag, 29.12.2018, 16:25 (vor 2692 Tagen) @ tino335i
Sehr verwaschen auf einem Papierettiket steht handschriftlich C 81 E und das Datum 16.11. (oder 12).91
Steuergerät 0 267 200 381 zuordnung
Baur-eta, Samstag, 29.12.2018, 16:34 (vor 2692 Tagen) @ tino335i
Steuergerät 0 267 200 381 zuordnung
tino335i
, Samstag, 29.12.2018, 17:13 (vor 2692 Tagen) @ Baur-eta
Hatte ich so leider noch nicht. Vielleicht hat ja ein Forumsteilnehmer auch diese Nummer drauf. Lauf einem Forumsbeitrag in USA wäre es die Codierung für einen 129PS 325e. Aber würde ich nicht drauf wetten.
Ich kann ja mal ne Liste hier anfangen:
320i: C05E
316i: C01E
535i: C33E
Mehr hab ich hier grad nicht rumliegen.
mfg Tino
Steuergerät 0 267 200 381 zuordnung
Baur-eta, Samstag, 29.12.2018, 17:18 (vor 2692 Tagen) @ tino335i
Ok, danke schon mal so weit. Wenn ich das Steuergerät nicht irgendwo in einer Teilesammlung übernommen habe könnte das passen. Habe bisher nur 325e und 320i geschlachtet..........
Hat auf jeden Fall 3 Steckerreihen.........
Steuergerät 0 267 200 381 zuordnung
Spiggy
, Ruhrgebiet, Sonntag, 30.12.2018, 00:07 (vor 2691 Tagen) @ tino335i
![[image]](images/uploaded/201812292304155c27fd6fa3fbf.jpg)
![[image]](images/uploaded/201812292304425c27fd8a5453a.jpg)
![[image]](images/uploaded/201812292305105c27fda67d846.jpg)
![[image]](images/uploaded/201812292305495c27fdcdc0405.jpg)
![[image]](images/uploaded/201812292306305c27fdf6bc6e2.jpg)
![[image]](images/uploaded/201812292306565c27fe10091e8.jpg)
![[image]](images/uploaded/201812292307335c27fe35811de.jpg)
--
![[image]](https://s20.directupload.net/images/220221/lmkhz73f.jpg)
Dachte mir schon dass es nicht ganz so einfach ist.
Aber was bedeutet das nun ?
C05E führt im 152 STG zu einer 320i Codierung und im 153er zu einem 325i ?
Sind die Kennfelder für 320i und 325i identisch ?
Ich dachte die Codierung entscheidet über Zünd und Einspritzkennfelder...
mfg tino
Steuergerät 0 267 200 381 zuordnung
Spiggy
, Ruhrgebiet, Sonntag, 30.12.2018, 12:47 (vor 2691 Tagen) @ tino335i
Hallo Tino,
Ich bin nur soweit gekommen das z.B. C05E die ersten beiden Stellen aussagen Länderausführung, HG, AG oder EH Getriebe und ob 91 oder 95 Oktan mit/ohne Kat und die letzten beiden stehen für die Karosserievarianten
E1 = e30 (?)
E3 = e30-16 (Allrad)
E5 = e30-8 (?)
Weiter
E7 = e28
E9 = e34
Vielleicht kann ja noch jemand etwas dazu beitragen...
--
![[image]](https://s20.directupload.net/images/220221/lmkhz73f.jpg)
Steuergerät 0 267 200 381 zuordnung
M60Chris
, Samstag, 29.12.2018, 17:38 (vor 2692 Tagen) @ Baur-eta
Hallo.
Ist ein Steuergerät für M20B20, e30 und e34.
Gruß Chris
Steuergerät 0 267 200 381 zuordnung
Baur-eta, Samstag, 29.12.2018, 17:42 (vor 2692 Tagen) @ M60Chris
Ah, danke !
Steuergerät 0 267 200 381 zuordnung
AlexE30
, Samstag, 29.12.2018, 18:27 (vor 2692 Tagen) @ M60Chris
Wenn man die Teilenummer vom 2ten Foto (1735363) in den BMW Teilekatalog eingibt, wird der 320i M20 und der 520i M20 angezeigt.
Hier der Link:
http://de.bmwfans.info/parts-catalog/12141735363
Grüße Alex
